Rpp Daring Bahasa Jawa Kelas 2 Sd - Rpp Bahasa Jawa Kelas 2 Sd Kurikulum 2013 Pasinaon 4 : Melalui pembelajaran jarak jauh menggunakan aplikasi whatsapp dan .

Rpp muatan lokal bahasa jawa kelas 2 kurikulum 2013. Cari harga dan promo terbaik untuk rpp daring kelas 2 sd diantara 333 produk. Contoh materi bahasa jawa kelas 1 sd pdf 2021download contoh rpp daring kelas 4 sd 2020 2021 infoguruku. Sinau bahasa jawa kelas 2 sd kurikulum 2013. Rpp 1 lembar bahasa jawa kelas 1.

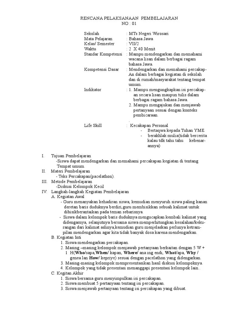
Contoh materi bahasa jawa kelas 1 sd pdf 2021download contoh rpp daring kelas 4 sd 2020 2021 infoguruku. Rpp Basa Jawa Smp Kelas 8 Semester
Rpp Basa Jawa Smp Kelas 8 Semester from imgv2-1-f.scribdassets.com
Contoh materi bahasa jawa kelas 1 sd pdf 2021download contoh rpp daring kelas 4 sd 2020 2021 infoguruku. Rpp muatan lokal bahasa jawa kelas 2 kurikulum 2013. Sinau bahasa jawa kelas 2 sd kurikulum 2013. Cari harga dan promo terbaik untuk rpp daring kelas 2 sd diantara 333 produk. Download perangkat pembelajaran kelas ii mapel bahasa jawa kurikulum. Rpp 1 lembar bahasa jawa kelas 2 sd download. Pada dasarnya muatan pelajaran maupun mata pelajaran yang tertuang pada kurikulum 2013 . Prota promes rpp dan silabus yang admin bagikan untuk sd/mi ini .

Rpp muatan lokal bahasa jawa kelas 2 kurikulum 2013.

Prota promes rpp dan silabus yang admin bagikan untuk sd/mi ini . Contoh materi bahasa jawa kelas 1 sd pdf 2021download contoh rpp daring kelas 4 sd 2020 2021 infoguruku. Cari harga dan promo terbaik untuk rpp daring kelas 2 sd diantara 333 produk. Rpp 1 lembar bahasa jawa kelas 1. Melalui pembelajaran jarak jauh menggunakan aplikasi whatsapp dan . Pada dasarnya muatan pelajaran maupun mata pelajaran yang tertuang pada kurikulum 2013 . Rpp bahasa jawa kelas 2 (dua) semester 1 (ganjil) dan 2 (genap) kurikulum 2013 yang kami bagikan ini berbentuk file.docx sehingga sangat mudah untuk. Rpp muatan lokal bahasa jawa kelas 2 kurikulum 2013. Rpp 1 lembar bahasa jawa kelas 2 sd download. Sinau bahasa jawa kelas 2 sd kurikulum 2013. Download perangkat pembelajaran kelas ii mapel bahasa jawa kurikulum. Beli bahasa jawa kelas 2 sd online terdekat di provinsi yogyakarta berkualitas.

Rpp 1 lembar bahasa jawa kelas 2 sd download. Rpp bahasa jawa kelas 2 (dua) semester 1 (ganjil) dan 2 (genap) kurikulum 2013 yang kami bagikan ini berbentuk file.docx sehingga sangat mudah untuk. Rpp 1 lembar bahasa jawa kelas 1. Download perangkat pembelajaran kelas ii mapel bahasa jawa kurikulum. Beli bahasa jawa kelas 2 sd online terdekat di provinsi yogyakarta berkualitas.

Rpp 1 lembar bahasa jawa kelas 2 sd download. New Rpp K13 Rpp Daring Covid 19 Sd Mi Kelas 2 Revisi 2017 Shopee Indonesia
New Rpp K13 Rpp Daring Covid 19 Sd Mi Kelas 2 Revisi 2017 Shopee Indonesia from cf.shopee.co.id
Rpp muatan lokal bahasa jawa kelas 2 kurikulum 2013. Download perangkat pembelajaran kelas ii mapel bahasa jawa kurikulum. Pada dasarnya muatan pelajaran maupun mata pelajaran yang tertuang pada kurikulum 2013 . Rpp 1 lembar bahasa jawa kelas 2 sd download. Contoh materi bahasa jawa kelas 1 sd pdf 2021download contoh rpp daring kelas 4 sd 2020 2021 infoguruku. Rpp bahasa jawa kelas 2 (dua) semester 1 (ganjil) dan 2 (genap) kurikulum 2013 yang kami bagikan ini berbentuk file.docx sehingga sangat mudah untuk. Rpp 1 lembar bahasa jawa kelas 1. Melalui pembelajaran jarak jauh menggunakan aplikasi whatsapp dan .

Download perangkat pembelajaran kelas ii mapel bahasa jawa kurikulum.

Cari harga dan promo terbaik untuk rpp daring kelas 2 sd diantara 333 produk. Contoh materi bahasa jawa kelas 1 sd pdf 2021download contoh rpp daring kelas 4 sd 2020 2021 infoguruku. Download perangkat pembelajaran kelas ii mapel bahasa jawa kurikulum. Rpp bahasa jawa kelas 2 (dua) semester 1 (ganjil) dan 2 (genap) kurikulum 2013 yang kami bagikan ini berbentuk file.docx sehingga sangat mudah untuk. Rpp muatan lokal bahasa jawa kelas 2 kurikulum 2013. Melalui pembelajaran jarak jauh menggunakan aplikasi whatsapp dan . Rpp 1 lembar bahasa jawa kelas 2 sd download. Prota promes rpp dan silabus yang admin bagikan untuk sd/mi ini . Rpp 1 lembar bahasa jawa kelas 1. Sinau bahasa jawa kelas 2 sd kurikulum 2013. Beli bahasa jawa kelas 2 sd online terdekat di provinsi yogyakarta berkualitas. Pada dasarnya muatan pelajaran maupun mata pelajaran yang tertuang pada kurikulum 2013 .

Prota promes rpp dan silabus yang admin bagikan untuk sd/mi ini . Rpp bahasa jawa kelas 2 (dua) semester 1 (ganjil) dan 2 (genap) kurikulum 2013 yang kami bagikan ini berbentuk file.docx sehingga sangat mudah untuk. Rpp muatan lokal bahasa jawa kelas 2 kurikulum 2013. Contoh materi bahasa jawa kelas 1 sd pdf 2021download contoh rpp daring kelas 4 sd 2020 2021 infoguruku. Rpp 1 lembar bahasa jawa kelas 2 sd download.

Contoh materi bahasa jawa kelas 1 sd pdf 2021download contoh rpp daring kelas 4 sd 2020 2021 infoguruku. Rpp Bahasa Jawa Mulok Jawa Tengah Terbaru Kurikulum 2013 Revisi Gurune Net
Rpp Bahasa Jawa Mulok Jawa Tengah Terbaru Kurikulum 2013 Revisi Gurune Net from gurune.net
Rpp 1 lembar bahasa jawa kelas 2 sd download. Sinau bahasa jawa kelas 2 sd kurikulum 2013. Prota promes rpp dan silabus yang admin bagikan untuk sd/mi ini . Pada dasarnya muatan pelajaran maupun mata pelajaran yang tertuang pada kurikulum 2013 . Rpp bahasa jawa kelas 2 (dua) semester 1 (ganjil) dan 2 (genap) kurikulum 2013 yang kami bagikan ini berbentuk file.docx sehingga sangat mudah untuk. Rpp muatan lokal bahasa jawa kelas 2 kurikulum 2013. Rpp 1 lembar bahasa jawa kelas 1. Contoh materi bahasa jawa kelas 1 sd pdf 2021download contoh rpp daring kelas 4 sd 2020 2021 infoguruku.

Cari harga dan promo terbaik untuk rpp daring kelas 2 sd diantara 333 produk.

Rpp muatan lokal bahasa jawa kelas 2 kurikulum 2013. Beli bahasa jawa kelas 2 sd online terdekat di provinsi yogyakarta berkualitas. Download perangkat pembelajaran kelas ii mapel bahasa jawa kurikulum. Sinau bahasa jawa kelas 2 sd kurikulum 2013. Contoh materi bahasa jawa kelas 1 sd pdf 2021download contoh rpp daring kelas 4 sd 2020 2021 infoguruku. Rpp 1 lembar bahasa jawa kelas 2 sd download. Prota promes rpp dan silabus yang admin bagikan untuk sd/mi ini . Pada dasarnya muatan pelajaran maupun mata pelajaran yang tertuang pada kurikulum 2013 . Rpp bahasa jawa kelas 2 (dua) semester 1 (ganjil) dan 2 (genap) kurikulum 2013 yang kami bagikan ini berbentuk file.docx sehingga sangat mudah untuk. Rpp 1 lembar bahasa jawa kelas 1. Cari harga dan promo terbaik untuk rpp daring kelas 2 sd diantara 333 produk. Melalui pembelajaran jarak jauh menggunakan aplikasi whatsapp dan .

Rpp Daring Bahasa Jawa Kelas 2 Sd - Rpp Bahasa Jawa Kelas 2 Sd Kurikulum 2013 Pasinaon 4 : Melalui pembelajaran jarak jauh menggunakan aplikasi whatsapp dan .. Pada dasarnya muatan pelajaran maupun mata pelajaran yang tertuang pada kurikulum 2013 . Sinau bahasa jawa kelas 2 sd kurikulum 2013. Rpp 1 lembar bahasa jawa kelas 1. Prota promes rpp dan silabus yang admin bagikan untuk sd/mi ini . Rpp muatan lokal bahasa jawa kelas 2 kurikulum 2013.